Hello and welcome to ExamPundit. Here is a set of Simplifications for SBI PO Prelims 2015.
Directions (Q. 1-5):
What should come in place of question mark (?) in the following questions?
1. 3.5% of 2400 +
4.5% of 3200 = 1140 ÷ ?
(a) 2
(b) 3
(c) 4
(d) 5
(e) 6
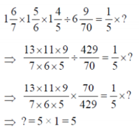
2. 1 6/7 x 1 5/6 x 1 4/5 ÷ 6 9/70 = 1/5 x ?
(a) 1
(b) 2
(c) 3
(d) 4
(e) 5
3. 30.2 × 90.6 × 270.2 = 5 + ?
(a) 3
(b) 9
(c) 4
(d) 8
(e) 12
4. 65536 = (4? )2
(a) 6
(b) 2
(c) 8
(d) 4
(e) 5
5. If √7 = 2.65 then 33√7/7 + 2.55 = ?
(a) 11.5
(b) 12
(c) 14.5
(d) 15
(e) 16.5
| Solutions - | ||
|---|---|---|
![]() |
||
Directions (Q. 6-10): What approximate value should come in place of question mark (?) in the following questions?
6. (41.3)3
= ?
(a) 70440
(b) 72400
(c) 70540
(d) 72000
(e) 70344
7. (332% of 550) ÷ 180 = ?
(a) 9
(b) 10
(c) 11
(d) 12
(e) 14
8. √50000 ÷13 = ?
(a) 11
(b) 13
(c) 17
(d) 15
(e) 19
9. (348.99 + 250.003 – 111.04) ÷ 54.98 = ?
(a) 7
(b) 9
(c) 11
(d) 13
(e) 15
| Solutions - | ||
|---|---|---|
![]() |
||
10. 8855 = 4620 + 75 × ?
(a) 55.5
(b) 56.5
(c) 57.5
(d) 58.5
(e) 59.5
Regards
Team ExamPundit
function answer(id){ if(document.getElementById(id).style.display == "block"){ document.getElementById(id).style.display = "none"; }else{ document.getElementById(id).style.display = "block"; } } #a1{display:none;} #a2{display:none;} #a3{display:none;} #a4{display:none;} #a5{display:none;} #a6{display:none;} #a7{display:none;} #a8{display:none;} #a9{display:none;} #a10{display:none;}
Sponsored
(adsbygoogle = window.adsbygoogle || []).push({});
Books For 2015 Banking/Insurance Exams










