Hello and welcome to ExamPundit. Here is a set of Simplifications Quiz for IBPS Clerk Prelims 2015.
What should come in place of the question mark (?) in the following questions?
1. 14% of 905 + ? =
287
1) 148.7
2) 160.3
3) 163.1
4) 162.5
5) None of these
2. 2073.5 ÷ (22 ×
14.5) = ?
1) 7.5
2) 6.5
3) 4.5
4) 3.5
5) None of these
3. 6824 + 7864 = ? ×
40
1) 376.4
2) 359.2
3) 363.4
4) 367.2
5) None of these
4. 10000 ÷ 100 ÷ 10 =
?
1) 1
2) 0.1
3) 1000
4) 100
5) None of these
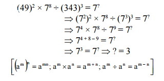
5. (49)2 ×
(7)8 ÷ (343)3 = (7)?
1) 3
2) 11
3) 7
4) 9
5) None of these
1) 296.1
2) 5433.6
3) 10052.5
4) 402.1
5) None of these
7. 206 × 71 – 12080 =
?
1) 2546
2) 2654
3) 2564
4) 2645
5) None of these
8. 3/7
÷ 9/14 × 6/11 = ?
1) 9/22
2) 7/11
3) 4/11
4) 7/22
5) None of these
9. √? + 22 = √2601
1) √841
2) (841)2
3) √22
4) 22
5) None of these
10. 2 4/5
- 1 3/8 + 3 1/2 = ?
1) 4 17/40
2) 4 37/40
3) 3 27/40
4) 3 11/40
5) None of these
Regards
function answer(id){ if(document.getElementById(id).style.display == "block"){ document.getElementById(id).style.display = "none"; }else{ document.getElementById(id).style.display = "block"; } } #a1{display:none;} #a2{display:none;} #a3{display:none;} #a4{display:none;} #a5{display:none;} #a6{display:none;} #a7{display:none;} #a8{display:none;} #a9{display:none;} #a10{display:none;} Team ExamPundit
Sponsored
(adsbygoogle = window.adsbygoogle || []).push({});
Books For 2015 Banking/Insurance Exams










