Hello and welcome to exampundit. Here is a set of General Intelligence Quiz for RRB Group D & ALP 2018 Examinations.
DIRECTIONS (Qs. 1-2): Choose the odd word/letters number/ number pair from the given alternatives.
1. (a) Sirius (b) Proximacentauri
(c) Deimos (d) Alpha centauri
[su_spoiler title="Answer & Solutions" style="fancy" icon="arrow-circle-1"]
Option: C
Explanation: Except Deimos (It is a satellite), All others are Star systems.
[/su_spoiler]
2. (a) PON (b) SRQ
(c) XYZ (d) VUT
[su_spoiler title="Answer & Solutions" style="fancy" icon="arrow-circle-1"]
Option: C
Explanation: Except, XYZ, All others are opposite alphabetical sequence.
[/su_spoiler]
DIRECTIONS (Q. 3): A series is given with one term missing. Choose the correct alternative from the given ones that will complete the series.
3. 30, 60, 360, 3600, ?
(a) 48500
(b) 50500
(c) 50400
(d) 40800
[su_spoiler title="Answer & Solutions" style="fancy" icon="arrow-circle-1"]
Option: C
Explanation:

[/su_spoiler]
4. Five boys A, B, C, D and E are standing in a line. A is taller than E but shorter than D. B is shorter than E and C is the tallest. Who is in the middle?
(a) A
(b) C
(c) D
(d) E
[su_spoiler title="Answer & Solutions" style="fancy" icon="arrow-circle-1"]
Option: A
Explanation: C > D > A > E > B
So, A is in the middle
[/su_spoiler]
5. In a certain code language, "RIVER" is written as "12351" and "RED" is written as "156". How is "DRIVER" written in that code language?
(a) 612311
(b) 612531
(c) 621351
(d) 612351
[su_spoiler title="Answer & Solutions" style="fancy" icon="arrow-circle-1"]
Option: D
Explanation: 
[/su_spoiler]
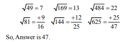
6. In the following question, select the missing number from the given series.
| 49 |
169 |
484 |
| 81 |
144 |
625 |
| 16 |
25 |
? |
(a) 37
(b) 47
(c) 48
(d) 25
[su_spoiler title="Answer & Solutions" style="fancy" icon="arrow-circle-1"]
Option: B
Explanation:

[/su_spoiler]
7. If "+" means "minus", "×" means "divided by", " ¸ " means "plus" and "–" means "multiplied by", then
126 × 14 + 7 – 3 ¸ 2 = ?
(a) – 10
(b) – 12
(c) – 17
(d) – 41
[su_spoiler title="Answer & Solutions" style="fancy" icon="arrow-circle-1"]
Option: A
Explanation: If,
+=–
×=÷
÷=+
–=×
then,
126 ÷ 14 – 7 × 3 + 2 = – 10
[/su_spoiler]
8. In the following question, which one set of letters when sequentially placed at the gaps in the given letter series shall complete it?
d _ ba_c_a_cb_
(a) cdbda
(b) cdbad
(c) bdacd
(d) abdca
[su_spoiler title="Answer & Solutions" style="fancy" icon="arrow-circle-1"]
Option: A
Explanation: d
cba /
dc
ba /
dcb
a
So, answer is cdbda.
[/su_spoiler]
9. Neeraj is facing north, then he turns 45 degree right and goes 25 m, then turns in south – east direction to move 25 m and from there 25 m to east. In which direction/place is he from his original place?
(a) North
(b) East
(c) West
(d) South
[su_spoiler title="Answer & Solutions" style="fancy" icon="arrow-circle-1"]
Option: B
Explanation: 
[/su_spoiler]
10. Introducing a boy Ankit said, "He is the son of daughter of my grandfather's son". How is that boy related to Ankit?
(a) Cousin
(b) Brother
(c) Father – in – law
(d) Nephew
[su_spoiler title="Answer & Solutions" style="fancy" icon="arrow-circle-1"]
Option: D
Explanation: Nephew
[/su_spoiler]
Regards
Team Exampundit