
Hello and welcome to exampundit. Here is a set of Puzzle Quiz for Upcoming IBPS Bank Exams. The following set of questions are moderate prelims level.
DIRECTIONS (Qs. 1-5)
: Study the following information carefully to answer the given questions.
Ten famous sports personalities
are sitting in twelve seats in two parallel rows containing five people each,
in such a way that there is an equal distance between adjacent persons. In Row
- 1: Sardara Singh, M.S.Dhoni, P.V.Sindhu, Sania Mirza, and Sakshi Malik are
seated and all of them are facing south, and in Row 2 : Mary Kom, Sathish, Dipa
Karmakar, Sandeep and Abhinav Bindra are sitting and all of them are facing
north. One seat is vacant in each row. Therefore, in the given seating
arrangement each member seated in a row faces another member of the other row.
All of them like different sports like i.e. Hockey, Cricket, Badminton, Tennis,
Wrestling, Boxing, Weight lifting, Gymnastics, Swimming and Shooting. Sandeep
sits third to the right of Dipa Karmakar and likes Tennis. Only two people sit
between Sathish and Vacant seat. Sathish sits at one of the extreme ends. Dipa
Karmakar does not like Hockey and Gymnastics. Sathish does not like Wrestling
and Badminton. Sakshi Malik is not an immediate neighbour of P.V.Sindhu.
M.S.Dhoni likes Shooting. The one who likes Badminton faces the one who likes
Gymnastics.Vacant seat of row-1 does not face Sandeep also does not sit at any
of the extreme ends. The one who likes Badminton sits opposite to the one, who
sits third right of the one, who sits opposite to Sandeep . P.V.Sindhu is not
an immediate neighbour of Sania Mirza. Abhinav Bindra, who likes neither
Wrestling nor Boxing, does not face vacant seat. Neither Sandeep nor Dipa
Karmakar sits at an extreme ends. Sania Mirza faces Dipa Karmakar. Vacant seats
are not opposite to each other. Two seats are there between P.V.Sindhu and M.S.Dhoni,
who sits third right of the one, who likes Weight lifting. The one who likes
Swimming faces the one, who likes Tennis. The person who likes Hockey and
Gymnastics are adjacent to each other. Vacant seat of row-1 is not an immediate
neighbour of Sania Mirza.
1. Who among the following sits second to the right of the person
who faces the vacant seat ?
(a) One who likes Cricket
(b) One who likes Boxing
(c) Sardana Singh
(d) P.V.Sindhu
(e) One who likes Weight lifting
2. Which of the following is true regarding Sardana Singh ?
(a) MSD and P.V. Sindhu are immediate neighbours of Sardana
Singh
(b) Only two people sit between Sardana Singh and P.V.Sindhu
(c) Sardana Singh is an immediate neighbour of the person who
faces Dipa Karmakar
(d) Sardana Singh sits second to left of MSD
(e) None of the given options is true
3. Which of the following groups of people represents the people
sitting at extreme ends of both the rows?
(a) MSD, P.V.Sindhu, Sardana Singh, Dipa Karmakar
(b) Sakshi Malik, Abhinav Bindra, Sathish,P.V.Sindhu
(c) Sakshi Malik, P.V. Sindhu, Sardana Singh, Dipa Karmakar
(d) MSD, P.V.Sindhu, Sardana Singh, Abhinav Bindra
(e) Sathish, P.V.Sindhu, Sardana Singh, Dipa Karmakar
4. Who amongst the following faces vacant seat of first row?
(a) MSD
(b) P.V.Sindhu
(c) Mary Kom
(d) Sardana Singh
(e) Dipa Karmakar
5. Which of the following is true with respect to the given information
?
(a) Mary Kom sits exactly between Abhinav Bindra and Dipa
Karmakar
(b) Sania Mirza faces immediate neighbour of Abhinav Bindra
(c) Sathish is an immediate neighbour of Mary Kom
(d) P.V.Sindhu faces Vacant seat
(e) None of the given options is true
Sponsored
(adsbygoogle = window.adsbygoogle || []).push({});
DIRECTION (Qs. 6-9):
Read the following information carefully & answer the given questions that
follows
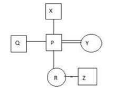
In a family there are 6 members P, Q, R, X, Y and Z. R is
the sister of Z. X is the father of P and grandfather of Z. Q is the brother of
Y's husband. There are three brothers, one mother and two fathers.
6. Who is the mother of R?
(a) Q (b) Z
(c) Y (d) X
(e) None of these
7. Who is Y's husband ?
(a) Q (b) P
(c) X (d) Can't be determined
(e) None of these
8. How many females are there in the family?
(a) One (b) two
(c) three (d) four
(e) None of these
9. Which of the following is the group of brothers ?
(a) PQZ (b) PRZ
(c) XZP (d) QRZ
(e) None of these
Answers
1. (b)
2. (d)
3. (b)
4. (c)
5. (b)
6. (c)
7. (b)
8. (b)
9. (a) P and Q are brothers and Z is the brother of R.
Advertisement
(adsbygoogle = window.adsbygoogle || []).push({});
1-5:
6-9:
EP Recommends: Toprankers Mock Tests
- IBPS RRB Assistant 2017 - Free Mock Test
- IBPS PO & Clerk 2017 - Free Mock Test
- IBPS RRB Officer 2017 - Free Mock Test
- Paramount SSC CGL Sure Shot 2017- Free Mock Test
- SSC Stenographer 2017 - Free Mock Test
EP Recommends: Oliveboard Mock Tests
Sponsored
(adsbygoogle = window.adsbygoogle || []).push({});
Regards
Team ExamPundit

