Hello and welcome to ExamPundit. Here is a set of Quantitative Aptitude Quiz for SSC CGL 2015. Also important for FCI AG-III.
1. The sum of the
interior angles of a convex rectilinear figure is equal to the sum of the
exterior angles. Then the number of
sides is.
(A) 4 (B) 5
(C) 6 (D) 8
2. If a commission of
10% is given on the marked price of an article, the gain is 20%. The gain
percent, when the commission is
increased to 20%, will be
(A) 6 2/3 (B) 5
(C) 8 (D) 5 1/3
3. The difference
between a discount of 40% on Rs. 500 and two successive discount of 30% and 10%
on the same amount is.
(A) Rs. 15 (B) Rs. 0
(C) Rs. 20 (D) Rs.10
4. A train with a
uniform speed passes a platform, 122 meters long, in 17 seconds and a bridge,
210 meters long, in 25 seconds. The
speed of the train is.
(A) 46.5 km/hour (B) 37.5 km/hour
(C) 37.6 km/hour (D) 39.6 km/hour
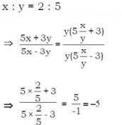
5. If x : y = 2:5 ,
then (5x + 3y) : (5x - 3y) is equal to
(A) 5 (B) 3
(C) -3 (D) -5
6. A mixture of 40
litres of milk and water contains 10% of water. How much water must be added to
make the water 20% in the new mixture?
(A) 10 litres (B) 7 litres
(C) 5 litres (D) 3 litres
7. A circle and a
square have equal areas. The ratio of a side of the square and the radius of
the circle is?
(A) 1 : √π(B) √π
: 1
(C) 1 : π (D) π
: 1
8. If A : B = 1 : 2,
B : C = 3 : 4, C : D = 6 : 9 and D : E = 12 : 16, then A : B : C : D : E is
equal to.
(A) 1 : 3 : 6 : 12 : 16 (B) 2 : 4 : 6 : 9 : 16
(C) 3 : 4 : 8 : 12 :16 (D) 3 : 6 : 8 : 12 : 16
9. A sum of money
doubles itself at some rate of compound interest in 15 years. In how many years
will it become eight times of itself
with the same rate?
(A) 30 (B) 45
(C) 48 (D) 60
10. The value of a
property decreases every year at the rate of 5%. If its present value is Rs. 4,
11, 540, what was its value 3 years
ago?
(A) Rs. 4, 50, 000 (B) Rs. 4, 60, 000
(C) Rs. 4, 75, 000 (D) Rs. 4, 80, 000
Regards
function answer(id){ if(document.getElementById(id).style.display == "block"){ document.getElementById(id).style.display = "none"; }else{ document.getElementById(id).style.display = "block"; } } #a2{display:none;} #a3{display:none;} #a4{display:none;} #a5{display:none;} #a6{display:none;} #a7{display:none;} #a8{display:none;} #a9{display:none;} #a10{display:none;}
Team ExamPundit
Sponsored
(adsbygoogle = window.adsbygoogle || []).push({});
Books For 2015 Banking/Insurance Exams









