Hello and welcome to ExamPundit. Here is a set of Quantitative Aptitude Quiz for RBI Assistant 2015.
1. An article was
purchased for 78,350. Its price was marked up by 30%. It was sold at a discount
of 20% on the marked up price. What was
the profit per cent on the cost price ?
(a) 4
(b) 7
(c) 5
(d) 3
(e) 6
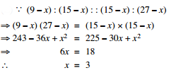
2. When X is
subtracted from the numbers 9, 15 and 27, the remainders are in continued proportion.
What is the value of X ?
(a) 8
(b) 6
(c) 4
(d) 5
(e) None of these
3. What is the difference
between the simple and compound interest on 7,300 at the rate of 6 p.c.p.a. in
2 years ?
(a) 29·37
(b) 26·28
(c) 31·41
(d) 23·22
(e) 21·34
4. Sum of three
consecutive numbers is 2262. What is 41% of the highest number ?
(a) 301·51
(b) 303·14
(c) 308·73
(d) 306·35
(e) 309·55
5. In how many different
ways can the letters of the word ‘THERAPY’ be arranged so that the vowels never come together ?
(a) 720
(b) 1440
(c) 5040
(d) 3600
(e) 4800
In each of these questions
a number series is given. In each series only one number is wrong. Find out
the wrong number.
6. 5531, 5506, 5425,
5304, 5135, 4910, 4621
(a) 5531
(b) 5425
(c) 4621
(d) 5135
(e) 5506
7. 6, 7, 9, 13, 26,
37, 69
(a) 7
(b) 26
(c) 69
(d) 37
(e) 9
8. 1, 3, 10, 36, 152,
760, 4632
(a) 3
(b) 36
(c) 4632
(d) 760
(e) 152
9. 4, 3, 9, 34, 96,
219, 435
(a) 4
(b) 9
(c) 34
(d) 435
(e) 219
10. 157·5, 45, 15, 6,
3, 2, 1,
(a) 1
(b) 2
(c) 6
(d) 157·5
(e) 45
| Solutions - | ||
|---|---|---|
![]() |
||
Regards
function answer(id){ if(document.getElementById(id).style.display == "block"){ document.getElementById(id).style.display = "none"; }else{ document.getElementById(id).style.display = "block"; } } #a1{display:none;} #a2{display:none;} #a3{display:none;} #a4{display:none;} #a5{display:none;} #a6{display:none;} #a7{display:none;} #a8{display:none;} #a9{display:none;} #a10{display:none;}
Team ExamPundit
Sponsored
(adsbygoogle = window.adsbygoogle || []).push({});
Books For 2015 Banking/Insurance Exams










