Hello and welcome to ExamPundit. Here is a set of Quantitative Aptitude Quiz for RBI Assistant 2015.
Direction (Q. 1-5) :
In the following questions two equations numbered I and II are given. You have
to solve both the equations and give
answer:
(a) if x < y
(b) if x > y
(c) if x = y no relation established between x and y
(d) x ³
y
(e) if x £
y
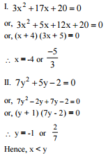
1. I. 3x2
+ 17x + 20 = 0
II. 7y2
+ 5y - 2 = 0
2. I. 3x2
= 24% of 200
II. 24y = 96
3. I. x(x+6) = 72
II. y(y+25) + 156
= 0
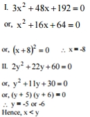
4. I. 3x2
+ 48x + 192 = 0
II. 2y2
+ 22y + 60 = 0
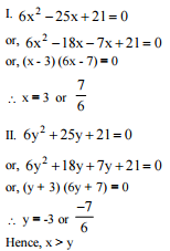
II. 6y2
+ 25y + 21 = 0
Direction (Q. 6-10) :
In the following number series only one is wrong. Find out the wrong number :
6. 87, 62, 46, 37,
34, 32
(a) 37
(b) 62
(c) 34
(d) 87
(e) 32
7. 6, 17, 62, 325,
2258, 20333
(a) 325
(b) 20333
(c) 62
(d) 17
(e) 6
8. 45, 136, 411,
1236, 3721, 11172
(a) 411
(b) 3721
(c) 1236
(d) 136
(e) 45
9. 788, 804, 829,
867, 914, 978
(a) 867
(b) 829
(c) 804
(d) 788
(e) None of these
10. 2197, 1331, 343,
512, 125, 27
(a) 1331
(b) 516
(c) 343
(d) 512
(e) None of these
Regards
function answer(id){ if(document.getElementById(id).style.display == "block"){ document.getElementById(id).style.display = "none"; }else{ document.getElementById(id).style.display = "block"; } } #a1{display:none;} #a2{display:none;} #a3{display:none;} #a4{display:none;} #a5{display:none;} #a6{display:none;} #a7{display:none;} #a8{display:none;} #a9{display:none;} #a10{display:none;}
Team ExamPundit
Sponsored
(adsbygoogle = window.adsbygoogle || []).push({});
Books For 2015 Banking/Insurance Exams










