Hello and welcome to ExamPundit. Here is a set of Quantitative Aptitude Quiz for LIC AAO and IRDAI Junior Officer based on Data Interpretation and Basic Quantitative Aptitude Questions.
Regards
function answer(id){ if(document.getElementById(id).style.display == "block"){ document.getElementById(id).style.display = "none"; }else{ document.getElementById(id).style.display = "block"; } } #a1{display:none;} #a2{display:none;} #a3{display:none;} #a4{display:none;} #a5{display:none;} #a6{display:none;} #a7{display:none;} #a8{display:none;} #a9{display:none;} #a10{display:none;} Team ExamPundit
Sponsored
(adsbygoogle = window.adsbygoogle || []).push({});
Directions (Q. 1-5):
Study the table carefully and answer the questions that follow. The table
represents the percentage
expenditure of the income of A, B, C, D, E and F on different items.
1. If the annual
incomes of B and C are Rs.216000 and Rs.264000 respectively, what is the difference
between the amounts spent by them on
transport?
1) Rs.9248
2) Rs.9414
3) Rs.9518
4) Rs.9608
5) Rs.9744
2. If the amounts of
money spent on food by C and D are Rs.72000 and Rs.86400 respectively, then the
annual income of C is what percentage of
the annual income of D?
1) 47.5%
2) 60%
3) 62.5%
4) 120%
5) 160%
3. The percentage of
amount of money spent by E on entertainment is what percentage of the amount
of money spent by F on transport?
1) 53.75%
2) 72.5%
3) 87.25%
4) 112.5%
5) 186%
4. If the annual
income of C and D together is Rs.420000,what is the sum of the amount spent by
C on rent and that by D on
miscellaneous items?
1) Rs.144410
2) Rs.145260
3) Rs.146580
4) Rs.147850
5) None of these
5. If the monthly
incomes of A and D are Rs.40000 and Rs.36000 respectively, then the amount of money
spent by A on rent is what percentage
more than the amount spent by D on clothes?
1) 32.62%
2) 34.24%
3) 36.54%
4) 38.88%
5) 40%
6. From a group of 5
girls and 8 boys, in how many ways can 8 person be chosen so as to include at
least one girl?
1) 984
2) 1024
3) 1132
4) 1242
5) 1286
7. In a bag there are
9 white and 7 black balls. Two draws of one ball each are made without replacement. What is the probability that
one ball is black and the other is white?
1) 19/40
2) 21/40
3) 19/56
4) 37/56
5) 24/95
8. Dilip invested a
certain amount in a scheme which gave him simple interest at the rate of 7% pa
for the first 3 years, 8.5% pa for the
next 5 years and 11% pa for the period beyond 8 years. If the person gets Rs.11825 as simple interest in 12
years, then how much money did he invest?
1) Rs.10000
2) Rs.11000
3) Rs.12000
4) Rs.14000
5) Rs.15000
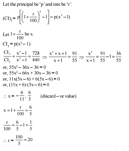
9. A certain sum is
deposited in a bank which gives compound interest at a certain rate. The interest
on the amount is Rs.440 in the first
two years and Rs.728 in the first three years. What is the rate of interest per
annum?
1) 10%
2) 12%
3) 15%
4) 20%
5) 24%
10. What quantity of
water should be taken out to concentrate 65 litres of 54% acidic liquid to 78%
acidic liquid?
1) 15 litres
2) 20 litres
3) 25 litres
4) 30 litres
5) 35 litres
Regards
function answer(id){ if(document.getElementById(id).style.display == "block"){ document.getElementById(id).style.display = "none"; }else{ document.getElementById(id).style.display = "block"; } } #a1{display:none;} #a2{display:none;} #a3{display:none;} #a4{display:none;} #a5{display:none;} #a6{display:none;} #a7{display:none;} #a8{display:none;} #a9{display:none;} #a10{display:none;} Team ExamPundit
Sponsored
(adsbygoogle = window.adsbygoogle || []).push({});










