Hello and welcome to ExamPundit. Here is a set of Quantitative Aptitude Quiz for LIC AAO 2016.
Directions (Q. 1-2):
Answer these questions on the basis of the information given below:
From a group of 6 men and 4 women a committee of 4 persons
is to be formed.
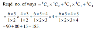
1. In how many
different ways can it be done so that the committee has at least one woman?
1) 210
2) 225
3) 195
4) 185
5) None of these
2. In how many
different ways can it be done so that the committee has at least 2 men?
1) 210
2) 225
3) 195
4) 185
5) None of these
3. Mr Manikandan
started a business, investing Rs 25000 in 2014. In 2015 he invested an additional
amount of Rs 10000 and Mr Gaurav joined him with an amount of Rs 35000. In 2016,
Mr Manikandan invested another additional amount of Rs 10000 and Mr Sanket joined them with an amount of Rs 35000. What will be Gaurav’s share in the profit
of Rs 150000 earned at the end of three years from the start of the business in
2014?
1) Rs 70000
2) Rs 50000
3) Rs 45000
4) Rs 75000
5) None of these
Directions (Q. 4-5):
Answer the following questions on the basis of the information given below:
(i) Trains A and B are travelling on the same route heading
towards the same destination. Train B has already covered a distance of 220 km
before train A started.
(ii) The two trains meet each other 11 hours after the start
of train A.
(iii) Had the trains been travelling towards each other (from
a distance of 220 km), they would have met after one hour.
4. What is the speed
of train B in kmph?
1) 100
2) 180
3) 116
4) Data inadequate
5) None of these
5. What is the speed
of train A in kmph?
1) 102
2) 80.5
3) 118
4) Data inadequate
5) None of these
6. The digit in the
units place of a number is equal to the digit in the tens place of half of that
number and the digit in the tens place of that number is less than the digit in
units place of half of the number by 1. If the sum of the digits of the number
is seven, then what is the number?
1) 52
2) 16
3) 34
4) Data inadequate
5) None of these
7. Incomes of two companies A and B are in the ratio of 5:8.
Had the income of company A been more by
Rs 25 lakh, the ratio of their incomes would have been 5:4. What is the income
of company B?
1) Rs 80 lakh
2) Rs 50 lakh
3) Rs 40 lakh
4) Rs 60 lakh
5) None of these
8. Taps A, B and C
are connected to a water tank and the rate of flow of water is 42 litres/hr, 56
litres/hr and 48 litres/hr
respectively. Taps A and B fill the tank while tap C empties the tank. If all
the three taps are opened simultaneously,
the tank gets completely filled up in 16 hours. What is the capacity of the
tank?
1) 960 litres
2) 2346 litres
3) 1600 litres
4) 800 litres
5) None of these
9. In a school, a
total of 110 students are studying together in two divisions A and B of Class
X. The students are studying only
Hindi, only Sanskrit or both Hindi and Sanskrit. The total number of students
in A and B divisions are in the ratio of
5 : 6; the number of students studying only Hindi is 40% of the total number of students in the two
divisions. The number of students studying both subjects in A division is 30% of the students in that
division and is equal to the number of students studying only Hindi in the same division. What is the total
number of students studying only Sanskrit in class X?
1) 44
2) 38
3) 36
4) 30
5) None of these
10. The product of the
ages of Akarsh and Nisha is 240. If twice the age of Nisha is more than Akarsh’s
age by 4 years, what is Nisha’s age in
years?
1) 12 years
2) 20 years
3) 10 years
4) 14 years
5) Data inadequate
Rules
→ Give answers in the following format:
Either
1-2
2-3
3-4
4-5
5-1
Or
12345
54321
→ Don’t rectify others
→ Don’t CHAT AT ALL
→ DO NOT EXPLAIN ANSWERS
→ At least 7 attempts needed
→ At least 8 participants needed to give scores
→ Exampundit have the rights to choose winners for the quiz
Regards
function answer(id){ if(document.getElementById(id).style.display == "block"){ document.getElementById(id).style.display = "none"; }else{ document.getElementById(id).style.display = "block"; } } #a1{display:none;} #a2{display:none;} #a3{display:none;} #a4{display:none;} #a5{display:none;} #a6{display:none;} #a7{display:none;} #a8{display:none;} Team ExamPundit
Sponsored
(adsbygoogle = window.adsbygoogle || []).push({});








