Hello and welcome to ExamPundit. Here is a set of Quantitative Aptitude Quiz for IBPS Clerk Prelims 2015.
1. A person lent a
certain sum of money at 8% simple interest, and in 8 years the interest amounted
to Rs.612 less than the sum lent.
Find the sum lent.
1) Rs.1400
2) Rs.1500
3) Rs.1600
4) Rs.1700
5) Rs.1800
2. If the compound
interest on a certain sum for 2 years at 15% is Rs.193.50, what will be the simple
interest at the same rate for the same
period?
1) Rs.150
2) Rs.160
3) Rs.180
4) Rs.172
5) Rs.175
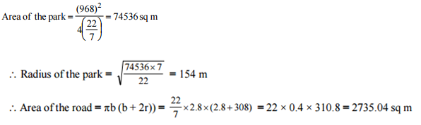
3. The circumference
of a circular park is 968m. The park is surrounded on the outside by a road 2.8
m wide. What is the area of the
road?
1) 2640.12 sq m
2) 2735.04 sq m
3) 2831.6 sq m
4) 2942 sq m
5) None of these
4. From a group of
five males and six females, in how many ways can four be chosen to include
exactly one female?
1) 210
2) 180
3) 120
4) 80
5) 60
5. A bag contains 6
red, 7 blue and 8 green balls. Three balls are drawn randomly. What is the probability that the balls drawn contain
exactly two blue balls?
1) 147/665
2) 518/665
3) 54/455
4) 44/455
5) 401/455
6. The sum of the
ages of A, B and C at present is 85 years. 10 years ago the ratio of their ages
was 1 : 3 : 7. The present age of C
is what percentage of the present age of B?
1) 55.55%
2) 80%
3) 120%
4) 180%
5) 300%
7. 13 men and 12
women earn Rs.11120 in 8 days. 9 men and 11 women earn Rs.12840 in 12 days. In
how many days will 8 men and 15 women
earn Rs.17400?
1) 12 days
2) 13 days
3) 14 days
4) 15 days
5) 16 days
8. Two pipes can
separately fill a tank in 10 hours and 40 hours respectively. Both the pipes
are opened together to fill the
tank, but when the tank is half-filled a leakage develops, through which ½ of
the water supplied by both the pipes
leaks out. What is the total time taken to fill the tank?
1) 8 hours
2) 10 hours
3) 12 hours
4) 16 hours
5) 18 hours
9. Two stations X and
Y are 1040 km apart. A train starts from station X at 11 am, and moves towards
Y at a speed of 40 kmh–1,
and the other train starts from Y at 1pm and moves towards X at a speed of 80
kmh–1. At what time will both
the trains meet?.
1) 7 pm
2) 11 pm
3) 8 pm
4) 10 pm
5) 9 pm
10. A square park is
surrounded on the outside by a path 2m wide. If the area of the path is 184 sq
m, then what will be the area of the
park?
1) 400 sq m
2) 441 sq m
3) 484 sq m
4) 529 sq m
5) 576 sq m
| Solutions - | ||
|---|---|---|
![]() |
||
Regards
function answer(id){ if(document.getElementById(id).style.display == "block"){ document.getElementById(id).style.display = "none"; }else{ document.getElementById(id).style.display = "block"; } } #a1{display:none;} #a2{display:none;} #a3{display:none;} #a4{display:none;} #a5{display:none;} #a6{display:none;} #a7{display:none;} #a8{display:none;} #a9{display:none;} #a10{display:none;} Team ExamPundit
Sponsored
(adsbygoogle = window.adsbygoogle || []).push({});
Books For 2015 Banking/Insurance Exams










