Hello and welcome to ExamPundit. Here is a set of Quantitative Aptitude Quiz for IBPS Clerk Prelims 2015.
1. Find the missing number, if the average of all eight numbers is 664.
335, 1082, 487, 465, 948, 542 , _____, 664
1) 768
2) 714
3) 789
4) 782
5) 795
| Solutions - | ||
|---|---|---|
![]() |
||
2. What would be the area of a rectangle whose area is equal to the area
of a circle of radius 7 cm?
1) 77 cm2
2) 154 cm2
3) 184 cm2
4) 184 cm2
5) 150 cm2
| Solutions - | ||
|---|---|---|
![]() |
||
3. A dishonest vendor professes to sell fruits at the cost price but he
uses a weight of 800 grams in lieu of 1
kg weight. Find his percentage gain.
1) 22%
2) 24%
3) 25%
4) 30%
5) 20%
| Solutions - | ||
|---|---|---|
![]() |
||
4. P sells a cow to Q at a loss of 10% and Q sells it to R at a loss of
8%. If R pays Rs.1656 for it, at what price did P buy it?
1) Rs.1533
2) Rs.1803
3) Rs.1217
4) Rs.1672
5) Rs.2000
5. Find the ratio of compound interest to simple interest on a sum at 8%
per annum for 3 years.
1) 2143 : 3354
2) 1051 : 1529
3) 129 : 427
4) 2 : 3
5) 2029 : 1875
| Solutions - | ||
|---|---|---|
![]() |
||
6. Three pipes X, Y and Z can fill a tank in 12 minutes, 18 minutes and
24 minutes respectively. The pipe Y is closed
3 minutes before the tank is full. In what time will the tank be full?
1)7 6/13
minutes
2) 5 4/13
minutes
3) 6 6/13
minutes
4) 4 6/13
minutes
5) 8 6/13
minutes
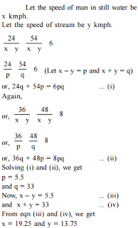
7. A man can row 24 km upstream and 54 km downstream in 6 hours. He can
also row 36 km upstream and 48 km downstream
in 8 hours. What is the speed of the man in still water?
1) 18.75 kmph
2) 19.25 kmph
3) 17.65 kmph
4) 15.55 kmph
5) 22.75 kmph
8. In how many ways can the letters of the word IMAGINARY be arranged in
such a way that all the vowels
never come together?
1) 95040
2) 94050
3) 93070
4) 86400
5) 98090
9. There are 4 boys and 6 girls. They sit in a row randomly. What is the
probability that all the boys do not
sit together?
1) 11/21
2) 20/21
3) 21/34
4) 11/34
5) 12/21
10. The numerator of a fraction is decreased by 25% and the denominator
is increased by 250%. If the
resultant fraction is 6/5, what is the original fraction?
1) 22/5
2) 24/5
3) 27/6
4) 28/5
5) 30/11
Regards
function answer(id){ if(document.getElementById(id).style.display == "block"){ document.getElementById(id).style.display = "none"; }else{ document.getElementById(id).style.display = "block"; } } #a1{display:none;} #a2{display:none;} #a3{display:none;} #a4{display:none;} #a5{display:none;} #a6{display:none;} #a7{display:none;} #a8{display:none;} #a9{display:none;} #a10{display:none;} Team ExamPundit
Sponsored
(adsbygoogle = window.adsbygoogle || []).push({});
Books For 2015 Banking/Insurance Exams










