Hello and welcome to ExamPundit. Here is a set of Quantitative Aptitude Quiz for IBPS PO Prelims 2015.
1. A certain amount
was to be distributed among A, B and C in the ratio 2 : 3 : 4 respectively, but
was erroneously distributed in the
ratio 7 : 2 : 5 respectively. As a result of this, B got 40 less. What is the amount?
(a) 210
(b) 270
(c) 230
(d) 280
(e) None of these
2. Rachita enters a
shop to buy ice-creams, cookies and pastries. She has to buy atleast 9 units of
each. She buys more cookies than ice-creams
and more pastries than cookies. She picks up a total of 32 items. How many cookies does she buy ?
(a) Either 12 or 13
(b) Either 11 or 12
(c) Either 10 or 11
(d) Either 9 or 11
(e) Either 9 or 10
3. The fare of a bus
is X for the first five kilometres and 13 per kilometre thereafter. If a passengre
pays 2402 for a journey of 187
kilometres, what is the value of X ?
(a) 29
(b) 39
(c) 36
(d) 31
(e) None of these
4. The product of
three consecutive even numbers is 4032. The product of the first and the third
number is 252. What is five times the
second number ?
(a) 80
(b) 100
(c) 60
(d) 70
(e) 90
5. The sum of the
ages of 4 members of a family 5 years ago was 94 years. Today, when the daughter
has been married off and replaced by a
daughter-in-law, the sum of their ages is 92. Assuming that there has been no other change in the family
structure and all the people are alive, what is the difference in the age of the daughter and the
daughter-in-law ?
(a) 22 years
(b) 11 years
(c) 25 years
(d) 19 years
(e) 15 years
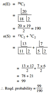
6. A bag contains 13
white and 7 black balls. Two balls are drawn at random. What is the probability
that they are of the same colour?
(a) 41/190
(b) 21/190
(c) 59/190
(d) 99/190
(e) 77/190
7. Akash scored 73
marks in subject A. He scored 56% marks in subject B and X marks in subject C.
Maximum marks in each subject were 150.
The overall percentage marks obtained by Akash in all the three subjects together were 54%. How many
marks did he score in subject C ?
(a) 84
(b) 86
(c) 79
(d) 73
(e) None of these
8. The area of a
square is 1444 square metres. The breadth of a rectangle is 1/4th the side of the
square and the length of the rectangle
is thrice the breadth. What is the difference between the area of the square and the area of the rectangle ?
(a) 1152·38 sq metre
(b) 1169·33 sq metre
(c) 1181·21 sq metre
(d) 1173·25 sq metre
(e) None of these
9. 73,689 are divided
between A and B in the ratio 4 : 7. What is the difference between thrice the
share of A and twice the share of B ?
(a) 36,699
(b) 46,893
(c) 20,097
(d) 26,796
(e) 13,398
10. A and B together
can complete a task in 20 days. B and C together can complete the same task in
30 days. A and C together can
complete the same task in 40 days. What is the respective ratio of the number of days taken by A when completing
the same task alone to the number of days taken by C when completing the same task alone ?
(a) 2 : 5
(b) 2 : 7
(c) 3 : 7
(d) 1 : 5
(e) 3 : 5
Regards
function answer(id){ if(document.getElementById(id).style.display == "block"){ document.getElementById(id).style.display = "none"; }else{ document.getElementById(id).style.display = "block"; } } #a1{display:none;} #a2{display:none;} #a3{display:none;} #a4{display:none;} #a5{display:none;} #a6{display:none;} #a7{display:none;} #a8{display:none;} #a9{display:none;} #a10{display:none;} Team ExamPundit
Sponsored
(adsbygoogle = window.adsbygoogle || []).push({});
Books For 2015 Banking/Insurance Exams










