Hello and welcome to ExamPundit. Here is a set of Quantitative Aptitude Quiz for IBPS Clerk Prelims 2015.
1. A train covers the
distance from Delhi to Patna at the speed of 42 kmph and from Patna to Delhi at
48 kmph. What is the average speed
of the train?
1) 44.8 kmph
2) 45.5 kmph
3) 46.6 kmph
4) 43.9 kmph
5) None of these
2. The cost of 24
pens and 36 pencils is Rs.720. What is the cost of 6 pens and 9 pencils?
1) Rs.109
2) Rs.230
3) Rs.180
4) Cannot be determined
5) None of these
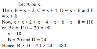
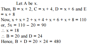
3. If the sum of five
consecutive even numbers A, B, C, D and E is 110, what is the product of B and
D?
1) 460
2) 480
3) 520
4) 760
5) None of these
4. If 45% of a number
is 1291.5, what is 67.5% of that number?
1) 1968.35
2) 1925.37
3) 1940.5
4) 1937.25
5) None of these
5. Two years ago the
ratio of the ages of Manoj and Shyam was 15 : 11. Two years hence the ratio of
their ages will be 17 : 13. What is the
present age of Shyam?
1) 24 years
2) 26 years
3) 28 years
4) 22 years
5) None of these
6. The cost of 19 kg
Apples is Rs.1158, that of 17 kg Tomatoes is Rs.595, and that of 13 kg Oranges
is Rs.949. What is the total cost of
11 kg Apples, 7 kg Tomatoes and 3 kg Oranges?
1) Rs.1876
2) Rs.1366
3) Rs.1230
4) Rs.1780
5) None of these
7. Pinky invested an
amount of Rs.24500 at the rate of 9% per annum. After how many years will she
get a simple interest of Rs.37485?
1) 13 years
2) 15 years
3) 17 years
4) 19 years
5) None of these
8. 50 persons can
complete a piece of work in 50 days. How many persons with twice the efficiency
will complete the same piece of work
in 10 days?
1) 110
2) 115
3) 120
4) 125
5) None of these
9. Two candidates
fought an election. One of them got 60% of the total votes and won by 550
votes. If 5% of votes were declared
invalid what was the total number of votes polled?
1) 2700
2) 3300
3) 3500
4) 3700
5) None of these
10. A number when
multiplied by six times of itself gives value equal to 1176. What is the
number?
1) 14
2) 17
3) 18
4) 16
5) None of these
Regards
function answer(id){ if(document.getElementById(id).style.display == "block"){ document.getElementById(id).style.display = "none"; }else{ document.getElementById(id).style.display = "block"; } } #a1{display:none;} #a2{display:none;} #a3{display:none;} #a4{display:none;} #a5{display:none;} #a6{display:none;} #a7{display:none;} #a8{display:none;} #a9{display:none;} #a10{display:none;} Team ExamPundit
Sponsored
(adsbygoogle = window.adsbygoogle || []).push({});
Books For 2015 Banking/Insurance Exams










