Hello and welcome to ExamPundit. Here is a set of Quantitative Aptitude Quiz for Bank Exams. The following set is based on Data Sufficiency and Quadratic Equations.
Directions (Q. 1-5): In each of these questions two equations are given. You have to solve these equations and give answer –
(a) if x < y
(b) if x > y
(c) if x = y no relation established between x and y
(d) x ≥ y
(e) if x ≤ y
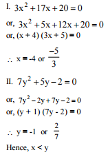
1. I. 3x2 + 17x + 20 = 0
II. 7y2 + 5y – 2 = 0
II. 24y = 96
II. y(y + 25) + 156 = 0
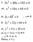
II. 2y2 + 22y + 60 = 0
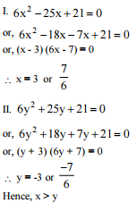
II. 6y2 + 25y + 21 = 0
Directions (Q. 6-10): Each question below is followed by two statements I and II. You are to determine whether the data given in the statement is sufficient to answer the question. You should use the data and your knowledge of Mathematics to choose between the possible answers. Give answer—
(a) If the statement I alone is sufficient to answer the question, but the statement II alone is not sufficient.
(b) If the statement II alone is sufficient to answer the question, but the statement I alone is not sufficient.
(c) If both statements I and II together are needed to answer the question.
(d) If either the statement I alone or the statement II alone is sufficient to answer the question.
(e) If you cannot get the answer from the statements I and II together, but need even more data.
6. What is the area of rectangle?
I. Perimeter is 20 meter.
II. Sum of two adjacent sides is 10 meters.
7. How many letters can 12 typists type in one day?
I. A working day consists of 8 hours?
II. 5 typists can type 200 letters in 2 days.
8. If x and y are integers, is x + y an even number?
I. 5 < x < 10
II. 6 < y < 9
9. What is the value of P?
I. The average of x, y and P is 10.
II. –x = y
10. If a man wants to cover a square room with a carpet, how much will it cost?
I. If the service charge is Rs 15 and each square yard cost is Rs 20.
II. If the room were 1/2 as large in area, it would cost Rs 150 less.
WINNERS:
▀▄ ARYAN▄▀ - 9/9
Bahubali -"एक अधूरी ख़्वाहिश" - 9/10
Tiwari Ji:) - 9/10
function answer(id){ if(document.getElementById(id).style.display == "block"){ document.getElementById(id).style.display = "none"; }else{ document.getElementById(id).style.display = "block"; } } #a1{display:none;} #a2{display:none;} #a3{display:none;} #a4{display:none;} #a5{display:none;} #a6{display:none;} #a7{display:none;} #a8{display:none;} #a9{display:none;} #a10{display:none;}
Team ExamPundit
Sponsored
(adsbygoogle = window.adsbygoogle || []).push({});









