Hello and welcome to ExamPundit. Here is a set of Quantitative Aptitude Quiz for Bank Exams and Insurance Exams. The following set is based on Simplifications.
Directions—(Q. 1–5) What will come in place of the question-mark (?) in
the following questions ?
1. 4003 × 77 – 21015 = ? × 116
(a) 2477
(b) 2478
(c) 2467
(d) 2476
(e) None of these
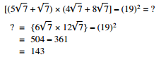
2. [(5 √7 + √7) × (4√7 + 8√7)] – (19)2 = ?
(a) 143
(b) 72√7
(c) 134
(d) 70√7
(e) None of these
3. (4444 ÷ 40) + (645 ÷ 25) + (3991 ÷ 26) = ?
(a) 280·4
(b) 290·4
(c) 295·4
(d) 285·4
(e) None of these
4. √33124 × √2601 – (83)2 = (?)2 + (37)2
(a) 37
(b) 33
(c) 34
(d) 28
(e) None of these
5. 5 17/37 × 4 51/52 × 11 1/7
+ 2 3/4 = ?
(a) 303·75
(b) 305·75
(c) 303 3/4
(d) 305 1/4
(e) None of these
Directions—(Q. 6–10) What approximate value should come in place of the
question-mark (?) in the following
questions ? (Note—You are not expected to calculate the exact value.)
6. 8787 ÷ 343 × √50 = ?
(a) 250
(b) 140
(c) 180
(d) 100
(e) 280
7. 3√54821 × (303 ÷ 8) = (?)2
(a) 48
(b) 38
(c) 28
(d) 18
(e) 58
8. 5/8 of
4011·33 + 7/10 of
3411·22 = ?
(a) 4810
(b) 4980
(c) 4890
(d) 4930
(e) 4850
9. 23% of 6783 + 57% of 8431 = ?
(a) 6460
(b) 6420
(c) 6320
(d) 6630
(e) 6360
10. 335·01 × 244·99 ÷ 55 = ?
(a) 1490
(b) 1550
(c) 1420
(d) 1590
(e) 1400
| Solutions - | ||
|---|---|---|
![]() |
||
Regards
function answer(id){ if(document.getElementById(id).style.display == "block"){ document.getElementById(id).style.display = "none"; }else{ document.getElementById(id).style.display = "block"; } } #a1{display:none;} #a2{display:none;} #a3{display:none;} #a4{display:none;} #a5{display:none;} #a6{display:none;} #a7{display:none;} #a8{display:none;} #a9{display:none;} #a10{display:none;}
Team ExamPundit
Sponsored
(adsbygoogle = window.adsbygoogle || []).push({});
Books For 2015 Banking/Insurance Exams









