Hello and welcome to ExamPundit. Here is a set of Quantitative Aptitude Quiz for Bank Exams 2015. The following set is based on Data Interpretation and Quadratic Equation problems.
Regards
function answer(id){ if(document.getElementById(id).style.display == "block"){ document.getElementById(id).style.display = "none"; }else{ document.getElementById(id).style.display = "block"; } } #a1{display:none;} #a2{display:none;} #a3{display:none;} #a4{display:none;} #a5{display:none;} #a6{display:none;} #a7{display:none;} #a8{display:none;} #a9{display:none;} #a10{display:none;} Team ExamPundit
Sponsored
(adsbygoogle = window.adsbygoogle || []).push({});
Books For 2015 Banking/Insurance Exams
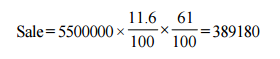
In year 2013 total number of bike produced by six companies together is
55 lakh. Following pie-chart shows
the percentage distribution of total produced bikes among these companies, and
the table shows the percentage sale
of these companies in year 2013.
Answer following questions based on these graph.
1. How many bikes
sold by company D in year 2013?
1) 384240
2) 387620
3) 389180
4) 392150
5) 397440
2. Total bikes sold
by company C is approximately what percentage of total bikes produced by company A.
1) 37.2%
2) 39.6%
3) 42.5%
4) 45.8%
5) 47.5%
3. What is the
difference between total number of bikes sold by company E and total bikes sold
by company F.
1) 60410
2) 61930
3) 62840
4) 63220
5) 64150
4. Total number of
bike sold by company B is approximately what percentage of total number of
bikes produced by all six companies
together.
1) 8.4%
2) 9.6%
3) 10.2%
4) 11.5%
5) 12.6%
5. What is the total
number of bikes sold by company A and company C together.
1) 964360
2) 993820
3) 1054000
4) 1145870
5) 1231680
Direction (Q. 6 -10)
: In the following questions two equations numbered (I) and (II) are given. You
have to solve both the equations and
give answer :
1) If x > y
2) If x ≥ y
3) If x < y
4) If x ≤ y
5) If x = y or the relationship can't be established.
6. I. x = √1369
II. y = 3√29791
7. I. 8x - 3y =
31
II. 5x + 4y = 84
8. I. 20x2
- 79x + 77 = 0
II. 4y2
+ 9y - 28 = 0
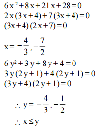
9. I. 6x2
+ 29x + 28 = 0
II. 6y2
+ 11y + 4 = 0
10. I. x2
+ 3x - 54 = 0
II. y2
+ 4y - 77 = 0
Regards
function answer(id){ if(document.getElementById(id).style.display == "block"){ document.getElementById(id).style.display = "none"; }else{ document.getElementById(id).style.display = "block"; } } #a1{display:none;} #a2{display:none;} #a3{display:none;} #a4{display:none;} #a5{display:none;} #a6{display:none;} #a7{display:none;} #a8{display:none;} #a9{display:none;} #a10{display:none;} Team ExamPundit
Sponsored
(adsbygoogle = window.adsbygoogle || []).push({});
Books For 2015 Banking/Insurance Exams











