Hello and welcome to ExamPundit. Here is a set of Quadratic Equations for Bank Exams.
In the following questions, three equations numbered I, II
and III are given. You have to solve all the equations either together or
separately, or two together and one separately, or by any other method and give
answer:
a) if x < y = z
b) if x £
y < z
c) if x < y > z
d) if x = y > z
e) if x = y = z or if none of the above relationships can be
established.
1. I. 7x + 6y +
4z = 122
II. 4x + 5y + 3z
= 88
III. 9x + 2y + z
= 78
2. I. 7x + 6y =
110
II. 4x + 3y = 59
III. x + z = 15
| Solutions - | ||
|---|---|---|
![]() |
||
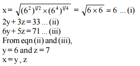
3. I. x = √[(36)
½ × (1296) ¼ ]
II. 2y + 3z = 33
III. 6y + 5z = 71
4. I. 8x + 7y =
135
II. 5x + 6y = 99
III. 9y + 8z =
121
5. I. (x + y)3
= 1331
II. x – y + z = 0
III. xy = 28
| Solutions - | ||
|---|---|---|
![]() |
||
Regards
function answer(id){ if(document.getElementById(id).style.display == "block"){ document.getElementById(id).style.display = "none"; }else{ document.getElementById(id).style.display = "block"; } } #a1{display:none;} #a2{display:none;} #a3{display:none;} #a4{display:none;} #a5{display:none;}
Team ExamPundit
Sponsored
(adsbygoogle = window.adsbygoogle || []).push({});
Books For 2015 Banking/Insurance Exams





