Hello and welcome to ExamPundit. Here is a set of Quantitative Aptitude Quiz for Bank Exams 2015.
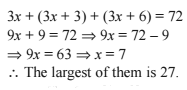
1. The sum of three
consecutive natural numbers each divisible by 3 is 72. What is the largest
among them?
(a) 25
(b) 26
(c) 27
(d) 30
(e) None of these
2. Which one of the
following numbers will completely divide (551+552+553+554+555)?
(a) 7
(b) 11
(c) 9
(d) 13
(e) None of these
3. A reduction of 20%
in the price of sugar enables a person to buy 2 kg more for Rs. 30. Find the
reduced and the original price per kg of
sugar.
(a) Rs. 4 per kg and Rs, 4 ¼ per Kg.
(b) Rs. 3 per kg and Rs, 3 ¾ per Kg.
(c) Rs. 2 per kg and Rs, 2 ½ per Kg.
(d) Rs. 4 per kg and Rs, 4 1/5 per Kg.
(e) None of these
4. What is the
smallest number by which 1400 be divided to make it a perfect cube?
(a) 130
(b) 145
(c) 160
(d) 175
(e) None of these
5. It is required to
change a rupee coin into 2 paise and 5 paise coins with the total number of
coins equal to 26. Find the number
of each type of coins.
(a) 10 and 16
(b) 12 and 14
(c) 10 and 20
(d) 10 and 14
(e) None of these
6. Five bells begin
to toll together and toll at intervals of 24, 40, 64, 72 and 120 s. After what
interval of time will they toll
again together?
(a) 42 min
(b) 36 min
(c) 48 min
(d) 54 min
(e) None of these
7. A camp of 3000
soldiers has provision for 60 days. After 15 days how many soldiers must leave
so that the provision may last for
75 days?
(a) 1200
(b) 1400
(c) 1300
(d) 1500
(e) None of these
8. The age of father
10 years ago was thrice the age of his son. Ten years hence, father's age will
be twice that of his son. The ratio
of their present ages is:
(a) 8:3
(b) 7:3
(c) 11:2
(d) 13:4
(e) None of these
9. The average marks
obtained by 80 students in a certain examination are 28. If the average marks of
the students who have passed is 40 and
that of those who have failed is 25, how many students failed the examination?
(a) 64
(b) 24
(c) 16
(d) 38
(e) None of these
10. The price per kg
of sugar decreases by 20%. By what percentage should the consumption be increased such that expenditure remains the
same?
(a) 18%
(b) 30%
(c) 20%
(d) 25%
(e) None of these
Regards
function answer(id){ if(document.getElementById(id).style.display == "block"){ document.getElementById(id).style.display = "none"; }else{ document.getElementById(id).style.display = "block"; } } #a1{display:none;} #a2{display:none;} #a3{display:none;} #a4{display:none;} #a5{display:none;} #a6{display:none;} #a7{display:none;} #a8{display:none;} #a9{display:none;} #a10{display:none;}
Team ExamPundit
Sponsored
(adsbygoogle = window.adsbygoogle || []).push({});
Books For 2015 Banking/Insurance Exams










