Hello and welcome to ExamPundit. Here is a set of Quantitative Aptitude Quiz for Bank Exams 2015.
Directions (Q. 1 - 5): In each of the following number
series, a wrong number is given. Find out the wrong number.
1. 2, 6, 13, 26, 54,
100, 197
(a) 26
(b) 54
(c) 100
(d) 197
(e) 13
| Solutions -2, 6, 13, 26, 54, 100, 197 Here 2 × 2 + 2 = 6; 6 × 2 + 1 = 13; 13 × 2 + 0 = 26; 26 × 2 – 1 = 54; → Wrong, it should be 51 51 × 2 – 2 = 100;
100 × 2 – 3 = 197
|
|---|
2. 56, 57, 48, 73,
24, 105, –10
(a) 57
(b) 105
(c) 73
(d) –10
(e) 24
| Solutions -56, 57, 48, 73, 24, 105, –10 Here, 56 + 12 = 57; 57 – 32 = 48; 48 + 52 = 73; 73 – 72 = 24; 24 + 92 = 105;
105 – 112 = –10; → Wrong, it should be –16
|
|---|
3. 2, 2, 13, 59, 363,
2519, 20161
(a) 13
(b) 20161
(c) 2519
(d) 363
(e) 59
| Solutions - 2, 2, 13, 59, 363, 2519, 20161 Here, 2 × 3 – 4 = 2; 2 × 4 + 5 = 13; 13 × 5 – 6 = 59; 59 × 6 + 7 = 363; → Wrong, it should be 361 361 × 7 – 8 = 2519; 2519 × 8 + 9 = 20161 |
|---|
4. 1, 8, 66, 460,
2758, 13785, 55146
(a) 460
(b) 2758
(c) 66
(d) 8
(e) 55146
| Solutions - 1, 8, 66, 460, 2758, 13785, 55146 Here, 1 × 9 – 1 = 8; 8 × 8 + 2 = 66; 66 × 7 – 3 = 460; → Wrong, it should be 459 459 × 6 + 4 = 2758; 2758 × 5 – 5 = 13785; 13785 × 4 + 6 = 55146 |
|---|
5. 3, 1, 3, 0.7, 3,
0.6, 3, 0.5, 3
(a) 1
(b) 0.7
(c) 0.6
(d) 0.5
(e) 3
| Solutions -3, 1, 3, 0.7, 3, 0.6, 3, 5, 3 Here, 3 × 1/3 = 1 1 × 3 = 3 3 × 1/4 = .70 → Wrong, it should be .75 0.75 × 4 = 3 3 × 1/5 = .6; 0.6 × 5 = 3 3 × 1/6 = .5
.5 × 6 = 3
|
|---|
6. If 5 workers
collect 60 kg wheat in 3 days. How many kilograms of wheat will 8 workers collect
in 5 days?
(a) 80 kg
(b) 100 kg
(c) 120 kg
(d) 160 kg
(e) None of these
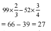
7. By how much is
three-fourth of 52 lesser than two-third of 99?
(a) 27
(b) 33
(c) 39
(d) 66
(e) None of these
8. The average age of
A, B and C is 26 years. if the average age of A and C is 29 years. what is the
age of B (in years)?
(a) 26
(b) 20
(c) 29
(d) 23
(e) None of these
9. A sum of money is
divided among A, B, C and D in the ratio of 3 : 5 : 8 : 9, respectively. If the
share of D is Rs. 1872 more than the
share of A, then what is the total amount of money of B and C together?
(a) Rs. 4156
(b) Rs. 4165
(c) Rs. 4056
(d) Rs. 4065
(e) None of these
| Solutions - | ||
|---|---|---|
![]() |
||
10. Arun started a
business investing Rs. 38000. After 5 months, Bakul joined him with a capital
of Rs. 55000. At the end of the year
the total profit was Rs. 22000. What is the approximate difference between the share of profit of Arun and
Bakul?
(a) Rs. 1192
(b) Rs. 1856
(c) Rs. 1007
(d) Rs. 1928
(e) Rs. 1568
Regards
function answer(id){ if(document.getElementById(id).style.display == "block"){ document.getElementById(id).style.display = "none"; }else{ document.getElementById(id).style.display = "block"; } } #a1{display:none;} #a2{display:none;} #a3{display:none;} #a4{display:none;} #a5{display:none;} #a6{display:none;} #a7{display:none;} #a8{display:none;} #a9{display:none;} #a10{display:none;} Team ExamPundit
Sponsored
(adsbygoogle = window.adsbygoogle || []).push({});
Books For 2015 Banking/Insurance Exams





