Hello and welcome to ExamPundit. Here is a set of Quantitative Aptitude Quiz based on Quadratic Equations and Data Sufficiency.
1. Find the equation
whose roots are reciprocal to the roots of equation - 1 – 5x + 4x2 =
0
(a) 4x – 5x2 –1 = 0
(b) 5x2 + 4x –1 = 0
(c) x2 – 5x
+ 4 = 0
(d) x2 – 5x + 1 = 0
(e) None of these
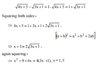
2. Find the value of
'x' of √4x + 5 – √3x +1 = 1
(a) 2, 4
(b) 2, 3
(c) 1, 3
(d) 1, 5
(e) 2, 5
3. Find the equation
whose roots are 5 and 11.
(a) x2 – 16 x – 55 = 0
(b) x2 – 16 x + 55 = 0
(c) x2 +16x – 55 = 0
(d) x2 +16x + 55 = 0
(e) x2 –10x + 55 = 0
4. Find the sum and
the product of the roots of the equation x2 + 15 x + 44=0
(a) –15, –44
(b) 15, –44
(c) –15, 44
(d) 15, 44
(e) None of these
5. Find the roots of
the following equation x2 – 3x + 2 = 0
(a) 1, – 2
(b) –1, –2
(c) –3, 2
(d) –1, 2
(e) 1, 2
Direction (Q. 6-10):
The following questions contain one question followed by two statements. Read
the questions carefully and decide
how many of the statement is/are necessary to answer the question. Answer according to the following codes-
(a) If the data in I alone are sufficient to answer the
question.
(b) If the data in II alone are sufficient to answer the
question.
(c) If the data in either I or II are sufficient to answer
the question.
(d) If both together are not sufficient to answer the
question.
(e) If both are required to answer the question.
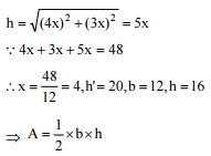
6. What is the area
of a right angled triangle?
I. Perimeter of the triangle in 48 cm.
II. Ratio between height and base of triangle 4 : 3.
7. What will be the
sum of two numbers?
I. Ratio between the greater number and smaller number is
12.
II. The difference between them is 28.
8. How much profit an
organisation earned in 1995?
I. The organisation earned 30% more profit than in 1993.
II. The organisation earned 40% more profit than in 1994.
9. In how many days
10 men and 5 women can do a piece of work?
I. 5 men can do the same work in 20 days.
II. 10 women can do the same work in 15 days.
10. How much marks
did Shyam scored in Hindi?
I. He scored 15 marks more in History than Geography.
II. He scored 20 marks more in Hindi than Geography.
Regards
function answer(id){ if(document.getElementById(id).style.display == "block"){ document.getElementById(id).style.display = "none"; }else{ document.getElementById(id).style.display = "block"; } } #a1{display:none;} #a2{display:none;} #a3{display:none;} #a4{display:none;}
Team ExamPundit
Sponsored
(adsbygoogle = window.adsbygoogle || []).push({});
Books For 2015 Banking/Insurance Exams




