Hello and welcome to ExamPundit. Here is a set of Quantitative Aptitude Quiz based on Simplifications and Number Series problems.
Directions (Q. 1-5):
What will come in place of question mark (?) in the following questions?
1. [(3024 ÷ 189)1/2
+ (684 ÷ 19)2] = (?)2 + 459
(a) –27
(b) –29
(c) 31
(d) 841
(e) 1089
2. 4.4 times 5/16
of 30% of 216 = ?
(a) 81.9
(b) 83.7
(c) 87.3
(d) 89.1
(e) None of these
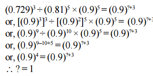
3. (0.0729 ÷ 0.1)3
÷ (0.081 × 10)5 × (0.3 × 3)5 = (0.9)? + 3
(a) 1
(b) 2
(c) 4
(d) 7
(e) None of these
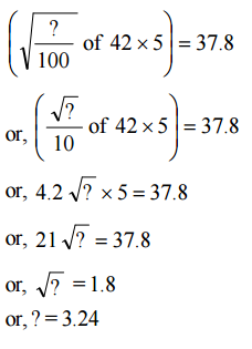
4. ( √?% of √1764
× 5) = 149.8 – 112
(a) 18
(b) 18
(c) 324
(d) 24
(e) None of these
5. (27)2 ×
6 ÷ 9 + (7)3 + 71 =(?)3 – 431
(a) 11
(b) (13)3
(c) 13
(d) (11)2
(e) None of these
Directions (Q. 6-10):
What will come in place of question mark (?) in the following number series?
6. 17 19 33 (?) 129
227
(a) 64
(b) 73
(c) 67
(d) 72
(e) None of these
7. 35 256 451 620 763
(?)
(a) 680
(b) 893
(c) 633
(d) 880
(e) None of these
8. 18 139 868 917 (?)
1051
(a) 1042
(b) 1036
(c) 942
(d) 996
(e) None of these
9. 2890 (?) 1162 874
730 658
(a) 1684
(b) 1738
(c) 1784
(d) 1672
(e) None of these
10. 14 1004 1202
1251.5 1268 (?)
(a) 1267.5
(b) 1276.25
(c) 1324.5
(d) 1367.25
(e) None of these
| Solutions - | ||
|---|---|---|
![]() |
||
Regards
function answer(id){ if(document.getElementById(id).style.display == "block"){ document.getElementById(id).style.display = "none"; }else{ document.getElementById(id).style.display = "block"; } } #a1{display:none;} #a2{display:none;} #a3{display:none;} #a4{display:none;} #a5{display:none;} #a6{display:none;} #a7{display:none;} #a8{display:none;} #a9{display:none;} #a10{display:none;}
Team ExamPundit
Sponsored
(adsbygoogle = window.adsbygoogle || []).push({});
Books For 2015 Banking/Insurance Exams










