Hello and welcome to ExamPundit. Here is a set of Quantitative Aptitude Quiz for Bank and Insurance Exams in 2015.
1. If the compound
interest on a certain sum of money for 3 years at 10% p.a. be Rs. 993, what
would be the simple interest ?
(a) Rs. 800
(b) Rs. 950
(c) Rs. 900
(d) Rs. 1000
(e) None of these
2. In a class, 20
opted for Physics, 17 for Maths, 5 for both and 10 for other subjects. The
class contains how many students?
(a) 35
(b) 42
(c) 52
(d) 60
(e) None of these
3. How much water
must be added to 100 cc of 80% solution of boric acid to reduce it to a 50%
solution ?
(a) 20 cc
(b) 40 cc
(c) 80 cc
(d) 60 cc
(e) None of these
4. Successive
discounts of 20% and 15% are equivalent to a single discount of
(a) 35%
(b) 32%
(c) 17.5%
(d) 22.5%
(e) None of these
5. The dimensions of
a rectangular room when increased by 4 metres are in the ratio of 4 : 3 and
when decreased by 4 metres, are in
the ratio of 2 : 1. The dimensions of the room are
(a) 6 m and 4 m
(b) 12 m and 8 m
(c) 16 m and 12 m
(d) 24 m and 16 m
(e) None of these
6. Two cars start
together in the same direction from the same place. The first goes with a
uniform speed of 10 km/h. The second
goes at a speed of 8 km/h in the first hour and increases its speed by ½ km with each succeeding hour. After how
many hours will the second car overtake the first one, if both go non-stop?
(a) 9 hours
(b) 5 hours
(c) 7 hours
(d) 8 hours
(e) None of these
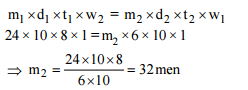
7. 24 men working 8
hours a day can finish a work in 10 days. Working at the rate of 10 hours a
day, the number of men required to
finish the same work in 6 days is
(a) 30
(b) 32
(c) 34
(d) 36
(e) None of these
8. The sum of digits
of a two digit number is 15. If 9 be added to the number, then the digits are
reversed. The number is
(a) 96
(b) 87
(c) 78
(d) 69
(e) None of these
9. Three cubes of a
metal are of edges 3 cm, 4 cm and 5 cm. These are melted together and from the
melted material, another cube is formed.
The edge of this cube is :
(a) 8 cm
(b) 10 cm
(c) 9 cm
(d) 6 cm
(e) None of these
10. Simran got married
8 years ago. Today her age is 1 2/7 times her age at the
time of her marriage. At present her
daughters age is one-sixth of her age. What was her daughter’s age 3 years ago
?
(a) 2 years
(b) 3 years
(c) 4 years
(d) 5 years
(e) None of these
Regards
function answer(id){ if(document.getElementById(id).style.display == "block"){ document.getElementById(id).style.display = "none"; }else{ document.getElementById(id).style.display = "block"; } } #a1{display:none;} #a2{display:none;} #a3{display:none;} #a4{display:none;} #a5{display:none;} #a6{display:none;} #a7{display:none;} #a8{display:none;} #a9{display:none;} #a10{display:none;}
Team ExamPundit
Sponsored
(adsbygoogle = window.adsbygoogle || []).push({});
Books For 2015 Banking/Insurance Exams










