Hello and welcome to ExamPundit. Here is a set of Quantitative Aptitude Quiz for Bank and Insurance Exams. These are based on Quadratic Equations and Number Series.
Directions (Q. 1-5):In each of these questions a number series is given. What value will come inplace of the question mark (?) inthe following series?
1. 0.5 ? 1.5 4.5 13
38.75
(a) 0.5
(b) 0.75
(c) 1
(d) 1.5
(e) None of these
| Solutions -(.5 + .5) × .5 = .5
(0.5 + 1) × 1 = 1.5
(1.5 + 1.5) × 1.5 = 4.5
(4.5 + 2) × 2 = 13
(13 + 2.5 ) × 2.5 = 387.5 |
|---|
2. 13 18 22 25 27 28
?
(a) 30
(b) 28
(c) 32
(d) 33
(e) None of these
| Solutions -2 × 6.5 = 13
3 × 6 = 18
4 × 5.5 = 22
5 × 5 = 25
6 × 4.5 = 27
7 × 4 = 28
8 × 3.50 = 28 |
|---|
3. 2 10 30 68 130 222
?
(a) 280
(b) 290
(c) 320
(d) 350
(e) None of these
| Solutions -1 + 13 = 2
2 + 23 = 10
3 + 33 = 30
4 + 43 = 68
5 + 53 = 130
6 + 63 = 222
7 + 73 = 350 |
|---|
4. 11 24 16 38 27 64
?
(a) 34
(b) 38
(c) 44
(d) 36
(e) None of these
| Solutions -11 × 2 + 2 = 24
24 ÷ 2 + 4 = 16
16 × 2+ 6 = 38
38 × 2 + 8 = 27
27 × 2 + 10 = 64
64 ÷ 2 + 12 = 44 |
|---|
5. 821 460 749 580
701 652 ?
(a) 668
(b) 677
(c) 766
(d) 686
(e) None of these
| Solutions - 821 – 192 = 460 460 + 172 = 749 749 – 132 = 580 580 + 112 = 701 701 – 72 = 652 652 + 52 = 677 |
|---|
Direction (Q. 6-10):In the following questions, there are two equations (I) and (II) solve the equations and answer according to following codes:
(a) If x < y
(b) If x > y
(c) If x = y
(d) If x ≥ y
(e) If x ≤ y
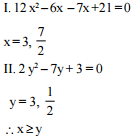
6. I. 2x2 – 13x + 21 = 0
II. 2 y2 – 7y + 3 = 0
| Solutions - | ||
|---|---|---|
![]() |
||
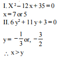
7. I. x2 – 12x + 35 = 0
II. 6y2 + 11y +3 = 0
| Solutions - | ||
|---|---|---|
![]() |
||
8. I. 2x2 – 17 x +21 = 0
II. y2 – 15y + 56 = 0
| Solutions - | ||
|---|---|---|
![]() |
||
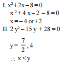
9. I. x2 +2x – 8 = 0
II. 2y2 – 15y + 28 = 0
| Solutions - | ||
|---|---|---|
![]() |
||
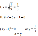
10. I. x = √1/9
II. 9y2 – 6y +1 = 0
| Solutions - | ||
|---|---|---|
![]() |
||




