Hello and welcome to exampundit. Here is a set of Quant Quiz on Simplification, Approximation and Series. Q:1- (55)2 + (23)2 = (?)2 + 418
  1. 51
  2. 49
  3. 56
  4. 47
  5. None of these
[su_spoiler title="Answer" style="fancy" icon="arrow-circle-1"] Option: 3 Explanation: → 3025 + 529 = (?)2 + 418 → 3554−418 =(?)2 →  3136    = (?)2 → (?)    = 56 [Trick- 552=last 5  square -25 & first 5 multiply by next no i.e 6→5×6=30→3025[combine no.] [/su_spoiler]   Q:2- 64.85 × 14.08 + √63.89 × 15.19 = √? × 206
  1. 21
  2. 25
  3. 28
  4. 29
  5. None of these
[su_spoiler title="Answer" style="fancy" icon="arrow-circle-1"] Option: 2 Explanation: →  910 + 8 × 15 = √? × 206 →  1030/206 = √? →√?  = 5 → ?   =  25. [/su_spoiler]     Q:3- (16.006)2 =(?-4.8) × 69.89 ÷ √195.87
  1. 49
  2. 51
  3. 59
  4. 56
  5. None of these
[su_spoiler title="Answer" style="fancy" icon="arrow-circle-1"] Option: 4 Explanation: → 256  = (? - 5)×70/14 → 256  = (?-5)×5 →256+25=?×5 →281/5=? →? = 56.2 →? ≈ 56. [/su_spoiler]   Q:4- 59⅟6 + 79⅟4 + 98⅕=?
  1. 230
  2. 237
  3. 240
  4. 239
  5. None of these
[su_spoiler title="Answer" style="fancy" icon="arrow-circle-1"] Option: 2 Explanation: =(59 + 79 + 98) + (1/6+1/4+1/5) =236 + 37/60 =236.616 ≈237. [/su_spoiler]   Q:5- 63% of 962 + ? = 999 1. 346.92 2. 368.64 3. 392.94 4. 402.68 5. None of these   [su_spoiler title="Answer" style="fancy" icon="arrow-circle-1"] Option: 3 Explanation: → 606.06 + ? = 999 → ? = 392.94. [/su_spoiler]   Q:6- 8, 11, 16, 25, 40, ?
  1. 53
  2. 63
  3. 43
  4. 73
  5. none
[su_spoiler title="Answer" style="fancy" icon="arrow-circle-1"] Option: 2 Explanation: [/su_spoiler]   Q:7- 25, 31, 49, 87, 153, ?
  1. 245
  2. 248
  3. 255
  4. 257
  5. none
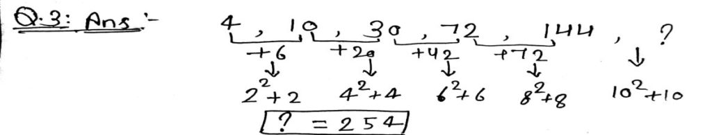
[su_spoiler title="Answer" style="fancy" icon="arrow-circle-1"] Option: Explanation: [/su_spoiler]     Q:8- 4, 10, 30, 72, 144, ?
  1. 254
  2. 256
  3. 258
  4. 260
  5. none
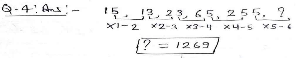
[su_spoiler title="Answer" style="fancy" icon="arrow-circle-1"] Option: 1 Explanation: [/su_spoiler]   Q:9- 15, 13, 23, 65, 255, ?
  1. 1261
  2. 1263
  3. 1267
  4. 1269
  5. none
[su_spoiler title="Answer" style="fancy" icon="arrow-circle-1"] Option: 4 Explanation: [/su_spoiler]   Q:10- 25, 29, 93, 129, 641, ?
  1. 740
  2. 741
  3. 742
  4. 742
  5. none
[su_spoiler title="Answer" style="fancy" icon="arrow-circle-1"] Option: 2 Explanation: [/su_spoiler]