Hello and welcome to exampundit. Here is a set of Numerical Ability Quiz for RRB NTPC 2015 2nd Stage CBT 2017.
1. The price of an article has been reduced by 25%. In order to restore the original price, the new price must be increases by?
(a) 9 1/11
(b) 11 1/9
(c) 33 1/3
(d) 36 2/3
2. A reduction of 25%
in the price of rice enables a person to buy 10 kg more rice for Rs. 600. The
reduced per kg price of rice is?
(a) Rs. 30
(b) Rs. 25
(c) Rs. 20
(d) Rs. 15
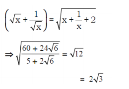
3. If x = 5 + 2 √6 ,
then the value of. (√x + 1/√x)is.
(a) 2√2
(b) 3√2
(c) 2√3
(d) 3√3
4. The least number,
that must be added to 1720 so as to obtain a perfect cube, is
(a) 7
(b) 8
(c) 11
(d) 13
5. The greatest
number among 260,348, 436 and 524
is.
(a) 260
(b) 348
(c) 436
(d) 524
6. The product of two
numbers is 0.008. One of the numbers 1/5 of the other.
The smaller number is.
(a) 0.2
(b) 0.4
(c) 0.02
(d) 0.04
7. P, Q, R are three
points so that PQ = 3 cm, QR = 5 cm and PR = 8 cm. Number of circles passing
through the points P, Q, R is.
(a) 0
(b) 1
(c) 2
(d) 3
8. AB is the diameter
of a circle and ABCD is a cyclic quadrilateral in it. If ∠ACD = 40º, then the measure of ∠BAD
is.
(a) 50o
(b) 40o
(c) 80o
(d) 90o
9. A person went from
A to B at an average speed of x km/hr. and returned from B to A at an average
speed of y km/hr. What was his average
speed during the total journey?
(a) x+y/2xy
(b) 2xy/x+y
(c) 2/x+y
(d) 1/x + 1/y
10. The average
monthly salary of A and B is Rs. 14, 000, that of B and C is Rs. 15, 600, and
that of A and C is Rs. 14, 400.
Monthly salary of B is.
(a) Rs. 12, 400
(b) Rs. 12, 800
(c) Rs. 15, 200
(d) Rs. 16, 000
function answer(id){ if(document.getElementById(id).style.display == "block"){ document.getElementById(id).style.display = "none"; }else{ document.getElementById(id).style.display = "block"; } } #a1{display:none;} #a2{display:none;} #a3{display:none;} #a4{display:none;} #a5{display:none;} #a6{display:none;} #a7{display:none;} #a8{display:none;} #a9{display:none;} #a10{display:none;}
Sponsored
(adsbygoogle = window.adsbygoogle || []).push({});
Regards
Team ExamPundit










