Hello and welcome to exampundit. Here is a set of Numerical Ability Quiz for RRB NTPC 2015 2nd Stage CBT 2017.
1. The average age of
ten members of a committee is the same as it was 2 years ago, as an old member
has been replaced by a young member. How
much younger is the new member to the old member?
(A) 20 years (B) 15 years
(C) 10 years (D) 2 years
2. The cost price of
20 articles is equal to the selling price of 15 articles. The profit percent
is.
(A) 16 2/3
(B) 20
(C) 33 1/3
(D) 66 2/3
3. The compound
interest on Rs. 2, 400 at the rate of 8% per annum for 6 months, when the
interest is to be calculated
half-yearly, will be.
(A) Rs. 192 (B) Rs. 196
(C) Rs. 96 (D) Rs.48
4. In a partnership
business. A invests ¼ of the capital for 1/3 of the time,
B invests 1/6 of the capital for ¼ of the time and C, the rest of the capital
for the whole time. Out of a profit of Rs. 9, 962 . A’s share is.
(A) Rs.1, 172 (B) Rs.1, 586
(C) Rs. 2, 804 (D) Rs. 4, 102
5. 40 minutes more is
required to cover a certain distance at a speed of 6 km/hr. than covering the
same distance at a speed of 8 km./hr. The distance covered in km is.
(A) 8 (B) 12
(C) 14 (D) 16
6. A man takes 4 hours
30 minutes to walk a certain distance and riding back. He could walk both ways
in 8 hours 20 minutes. The time he will
take to ride both ways is.
(A) 20 minutes (B) 30 minutes
(C) 40 minutes (D) 1 hour
7. The difference
between the selling prices of an article at a profit of 15% and at a profit of
10% is Rs. 10. The cost price of the
article is.
(A) Rs.100 (B) Rs. 120
(C) Rs. 150 (D) Rs. 200
8. A man bought 20
dozen eggs for Rs. 720. What should be the selling price of each egg if he
wants to make a profit of 20%?
(A) Rs. 3.25 (B) Rs. 3.30
(C) Rs. 3.50 (D) Rs. 3.60
9. When the price of
rice increases by 12 ½ % a man can get 250 gm less rice of Rs. 18. The present
cost of rice per kg is.
(A) Rs. 8 (B) Rs. 9
(C) Rs.16 (D) Rs.18
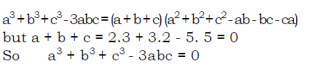
10. If a = 2.3, b =
3.2 and c = -5.5, then the value of a3 + b3+ c3
- 3abc is.
(A) 11 (B) 10
(C) 3 (D) 0
Regards
function answer(id){ if(document.getElementById(id).style.display == "block"){ document.getElementById(id).style.display = "none"; }else{ document.getElementById(id).style.display = "block"; } } #a1{display:none;} #a2{display:none;} #a3{display:none;} #a4{display:none;} #a5{display:none;} #a6{display:none;} #a7{display:none;} #a8{display:none;} #a9{display:none;} #a10{display:none;}
Team ExamPundit
Sponsored
(adsbygoogle = window.adsbygoogle || []).push({});
Regards
Team ExamPundit










