Hello and welcome to ExamPundit. Here is a set of Data Interpretation Problems.
Regards
function answer(id){ if(document.getElementById(id).style.display == "block"){ document.getElementById(id).style.display = "none"; }else{ document.getElementById(id).style.display = "block"; } } #a1{display:none;} #a2{display:none;} #a3{display:none;} #a4{display:none;} #a5{display:none;}
Team ExamPundit
Sponsored
(adsbygoogle = window.adsbygoogle || []).push({});
Books For 2015 Banking/Insurance Exams
Directions (Q. 1-5):
Study the following information carefully and answer the questions given below.
The total number of newspaper
readers from six different cities is 4 lakh. Following pie-chart shows the
percentage distribution of readers among these cities and the table gives the
ratio of male to female readers and the ratio of Hindi to English newspaper
readers.
City
|
Male : Female
|
Hindi : English
|
A
|
5 : 3
|
7 : 9
|
B
|
9 : 7
|
5 : 3
|
C
|
11 : 7
|
5 : 4
|
D
|
3 : 2
|
13 : 7
|
E
|
7 : 6
|
3 : 1
|
F
|
2 : 1
|
8 : 7
|
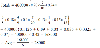
1. What is the
average number of English newspaper readers from all the six cities together?
(a) 27500
(b) 28000
(c) 28500
(d) 29000
(e) 29500
2. What is the total
number of females from City D who read Hindi newspapers?
(a) 16000
(b) 20000
(c) 24000
(d) 26000
(e) Data insufficient
3. The total number
of male readers from City B is what percentage of the total number of female
readers from City E?
(a) 44.44%
(b) 80%
(c) 125%
(d) 180%
(e) 225%
4. What is the ratio
of the total number of female readers from City C to the total number of Hindi
newspaper readers from City A?
(a) 3 : 4
(b) 4 : 5
(c) 5 : 6
(d) 6 : 7
(e) 7 : 8
5. The total number
of Hindi newspaper readers from all the cities together is what percentage of
the total number of newspaper
readers (both Hindi and English) from City A?
(a) 180%
(b) 225%
(c) 240%
(d) 290%
(e) 320%
Regards
function answer(id){ if(document.getElementById(id).style.display == "block"){ document.getElementById(id).style.display = "none"; }else{ document.getElementById(id).style.display = "block"; } } #a1{display:none;} #a2{display:none;} #a3{display:none;} #a4{display:none;} #a5{display:none;}
Team ExamPundit
Sponsored
(adsbygoogle = window.adsbygoogle || []).push({});
Books For 2015 Banking/Insurance Exams




