Hello and welcome to exampundit. Here is a set of Chapterwise Quantitative Aptitude Quiz from Previous Paper for IBPS Clerk 2017 based on Quadratic Equations
In each of these questions, two equations (I) and (II) are
given. You have to solve both the equations and give answer (IBPS PO Prelim 2015)
(a) if x > y
(b) if x < y
(c) if x ≥ y
(d) if x ≤ y
(e) if x = y or relation cannot be established between 'x'
and 'y'.
1. I. 8x + y =10
II. 4x + 2y = 13
2. I. (x + 3) (y + 2) = 12
II. 2xy + 4x + 5y = 11
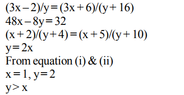
3. I. (3x – 2)/y = (3x + 6)/(y + 16)
II. (x + 2)/(y + 4) = (x + 5)/(Y + 10)
4. I. x^2 + 20x + 4 = 50 – 25x
II. y^2 – 10y – 24 = 0
5. I. (x^2 – 10x + 16)/(x^2 – 12x + 24) = 2/3
II. y^2 – y – 20 = 0
6. The number obtained by interchanging the two digits of a
two digit number is lesser than the original number by 54. If the sum of the
two digits of the number is 12, then what is the original number? (IBPS PO Prelim 2015)
(a) 28
(b) 39
(c) 82
(d) Can't say
(e) None of these
7. At present Geeta is eight times her daughter's age. Eight
years from now, the ratio of the ages of Geeta and her daughter will be 10 : 3
respectively. What is Geeta's present age ? (IBPS PO Prelim 2015)
(a) 32 years
(b) 40 years
(c) 36 years
(d) Can't say
(e) None of these
8. The ages of Samir and Tanuj are in the ratio of 8 : 15
years respectively. After 9 years the ratio of their ages will be 11 : 18. What
is the difference in years between their ages ? (IBPS PO Main 2015)
(a) 24 years
(b) 20 years
(c) 33 years
(d) 21 years
(e) None of these
Answers
1. B
2. E
3. B
4. B
5. A
6. E
7. A
8. D
EP Recommends: Toprankers Mock Tests
- IBPS RRB Assistant Mains 2017 – Free Mock Test
- IBPS RRB Officer Mains 2017 – Free Mock Test
- IBPS PO Mains 2017 – Free Mock Test
- IBPS Clerk 2017 - Free Mock Test
- RBI Assistant Prelims – Free Mock Test
- Paramount SSC CGL Tier 2 - Free Mock Test
- OICL AO Mains 2017 - Free Mock Test
EP Recommends: Oliveboard Mock Tests
EP Recommends: Gradeup Mock Tests
Sponsored
(adsbygoogle = window.adsbygoogle || []).push({});
Regards
Team ExamPundit








